Todo el mundo conoce el “promedio” o “media aritmética”. Cuando tenemos varias mediciones, podemos calcular su promedio aritmético sumándolas y dividiendo entre el número de ellas. Por ejemplo:

y por eso decimos que la media aritmética de 4, 2 y 3, es 3. Sin embargo, hay otras maneras de promediar números, es decir existen otros tipos de promedios, que tienen utilidad en diversas ramas de la ingeniería y de la ciencia.
A continuación del promedio aritmético nos encontramos al promedio geométrico. Para dos números y , su promedio geométrico esta definido por

Podemos visualizar el promedio geométrico como el lado de un cuadrado con la misma área que un rectángulo con lados a y b. El área del rectángulo es ab y la del cuadrado (⎷ab)2, que es también ab. La figura muestra el ejemplo de los dos números 2 y 4.5, cuya media geométrica es 3.

Pero no todos saben que otra manera de obtener el promedio geométrico es tomando la media aritmética de los logaritmos de los dos números. Es decir, si tengo los números a y b, calculo entonces:

Es decir, el promedio aritmético de los logaritmos de a y b es el logaritmo de (ab)1/2. Haciendo reversible el logaritmo, de log⎷ab obtenemos ⎷ab. Esto se puede generalizar para tres o más números. En el caso de tres números extraemos la raíz cúbica. Por ejemplo, la media geométrica de 1, 3 y 9 es igual a 3⎷1x3x9=3.
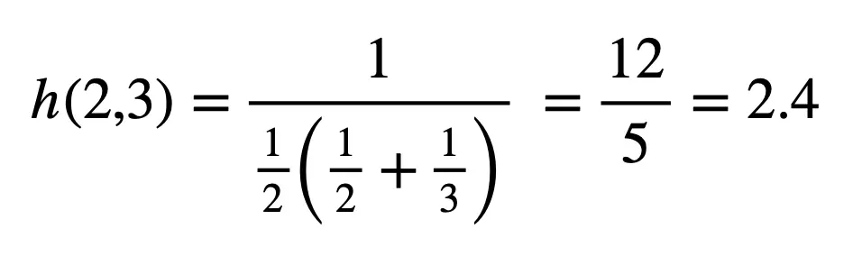
Aún más, existe otro tipo de promedio, que es llamado el promedio “armónico” de dos o más números. La idea es similar a la de los logaritmos: dados dos números a y b, los proyectamos a sus recíprocos 1/a y 1/b. Después de la proyección, calculamos la media aritmética y proyectamos de regreso, de manera que la media armónica h(2,3) es:

Nótese que la función inversa de tomar el reciproco de un número, es tomar el reciproco del resultado. El recíproco es su propia inversa ya que

La media aritmética de 2 y 3 es 2.5 y la geométrica es 2.44. Un resultado general, que no vamos a probar aquí, es que
media armónica ≤ media geométrica ≤ media aritmética,
como en este caso. Los tres promedios son iguales solo si promediamos números iguales.
Si tenemos un mapeo de los números a otra escala numérica que preserva la monotonía de los números y no produce discontinuidades, podemos inventar nuestros propios tipos de promedio.
Por ejemplo, el mapeo x→x2 preserva el orden de los números. El mapeo inverso es y→⎷y.
Si mapeamos 2 y 4, tomando sus cuadrados, obtenemos 4 y 16. El promedio aritmético de estos últimos dos números es 20/2=10. Su “raíz cuadrática media” es entonces” ⎷10=3.16 En el mismo espíritu, su “raíz cubica media” sería 3⎷½(23+43)=3⎷36=3.3 Como los mapeos cuadrático y cúbico preservan orden, el promedio siempre se encuentra entre los dos números extremos.
Una forma muy útil de visualizar la media armónica es pensando en fracciones de un objeto, digamos de una pizza. Dados los números 2, 3 y 6, podemos pensar en sus valores recíprocos 1/2, 1/3 y 1/6. Si fueran porciones de una pizza, su suma equivale a una pizza completa. Nos podemos preguntar que fracción divide a la pizza en tres partes iguales. La respuesta es un tercio. El recíproco de este número es tres, que es el promedio armónico

Podemos seguir inventando diferentes tipos de promedios. En el caso más general proyectamos los números de partida con una función f. Calculamos el promedio aritmético de los números, así como fueron proyectados, y proyectamos el resultado de regreso utilizando la función inversa de f.
Un ejemplo sería utilizar la función de proyección x→ex. La función inversa es y→logy. Dados los números a y b, su promedio “softmax” (como se llama a esta función) es

Se le llama así a este promedio, porque el número mayor domina en la suma de los exponentes y softmax se aproxima por eso al máximo de dos números, pero de manera progresiva y continua. Esta función tiene diversas aplicaciones en los algoritmos de aprendizaje por máquina.
De manera que lo que el lector debe tener en mente es que cuando hablamos del promedio de dos o más números, hay un verdadero zoológico de posibilidades, ancladas en el promedio más antiguo, el promedio aritmético.
